maple软件怎么解多元多次方程组 解多元多次方程组详细的教程
番茄系统家园 · 2023-08-17 10:20:53
maple软件是个很实用的数学工具,大家在建模中遇到一些多元多次方程组的时候,可以去通过maple软件来进行解决,很多人想知道maple软件怎么解多元多次方程组,接下来小编给大家带来解多元多次方程组详细的教程。
maple软件怎么解多元多次方程组
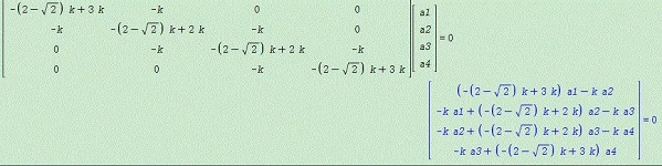
1、首先打开进入软件,然后定义需要求解的方程,如果是矩形阵势,那么就先将矩阵化成方程,输入矩阵a并回车。

2、然后将方程改成“[A]*[X]=0”,然后回车可以得到非矩阵形式线性方程组。

3、之后可以得到4个方程,将其分开写为:
· eqn1:=方程1=0,
· eqn2:=方程2=0,
· eqn3:=方程3=0,
· eqn4:=方程4=0。

4、最后输入命令“solve({eqn1,eqn2,eqn3,eqn4},{a1,a2,a3,a4})”,这里的第一个“{}”里写的是需要求解的方程编号,第二个是变量,点击回车即可。


怎么安装
1、首先去打开安装包文件夹,并且选择“以管理员身份运行”。

2、之后点击安装向导下面的“next”。

3、在勾选“i accept the agreement”,点击“next”。

4、点击文件夹图标,则可以去选择安装的目录文件夹,点击“next”。

5、之后是“是否创建桌面快捷家方式”,可以根据需求选择yes或no。

6、在这个界面选择第一个选项,点击“next”。

7、将图中的勾选处全部取消,点击“next”。

8、依旧点击“next”。

9、最后等到安装完成,点击“finish”即可。

以上就是maple软件怎么解多元多次方程组,解多元多次方程组详细的教程的全部内容了,希望对各位小伙伴有所帮助。
猜你喜欢
最新应用
热门应用

